Паперова книга
алгебра 7 клас діагностувальні роботи
Код товару / ISBN: 9789660742864
Обкладинка: М'яка
Є в наявності
Приймаємо пакунок школяра (замовлення до 1800грн, якщо треба більше робіть декількома замовленнями і пишіть, щоб їх об'єднали)
мінімальна сума заказу 190грн, можна розраховуватися пакунком школяра з 1 жовтня 2025
Обирайте товари з позначкою ПРОМО і Скористайся промокодом bob5 щоб отримати 5 % знижки на товар (діє на замовлення меньш 1500грн),
та Промо bob щоб отримати 3% знижки на товар на замовлення від 1500грн
Відслідкувати замовлення можна на сайті нажав зверху справа кнопку "Де моє замовлення".
На товари, яки позначені "Безкоштовна доставка" діє Безкоштовна доставка до відділення при замовленні таких товарів від 3500грн Нова Пошта або Укрпошта
В разі, якщо вам необхідна кількість більша, чим надає кошик, то кидайте в кошік скільки дає, з вам звяжуться і відкорегують за вашим запитом, можете позначити в коментарях необхідну кількість
способи оплати:
*карткою зразу на сайті (будь яка картка, в тому числі і іноземна підходить в любій валюті, а також пакунок Школяра)
*за банківськими реквізитами (в т.ч для юридичних осіб)
*Накладений платіж тільки Новою Поштою на Замовлення від 1 500грн за умови сплати авансу 500грн. (а при замовленні від 10 000грн, аванс 1000грн)
Доставка: Строки вказані по кожній позиції. Всі посилки страхуються на повну вартість. Повернення: Згідно законодавства України
Замовлення обробляються автоматично, одразу після надходження оплати.
Опис товару
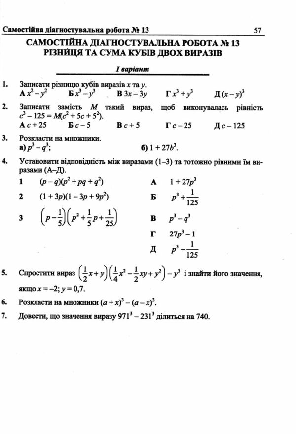
Посібник призначений для діагностування навчальних досягнень учнів 7 класу закладів загальної середньої освіти. Він відповідає модельній навчальній програмі «Алгебра. 7–9 класи» (авт. А. Г. Мерзляк та ін.).
Для вчителів математики та учнів 7 класу закладів загальної середньої освіти.
Відгуки





